El certificado energético es esencial para poder vender o alquilar un piso o casa. Este documento da información sobre el consumo de energía y la emisión de dióxido de carbono de un inmueble que está disponible para ser vendido o alquilado.
Desde el mes de junio de 2013 el certificado energético es obligatorio antes de iniciar una transacción inmobiliaria. Ya que, según el Real Decreto 235/2013 se contempla la «necesidad de disponer de esta certificación, cuya responsabilidad de obtención depende del propietario de la vivienda».
-> Te podría interesar nuestro artículo: Qué es la aerotermia y cómo funciona.
Índice de contenidos
ToggleCertificado energético: Qué es
El certificado de eficiencia energética de un edificio es un documento emitido por un técnico autorizado en el que se valora los atributos energéticos de tu vivienda.
Esta valoración se basa en el consumo energético de la vivienda anualmente, teniendo en cuenta las características específicas del inmueble, es decir, habitaciones, habitantes, metros cuadrados etc…
Certificado de eficiencia energética: ¿Qué información contiene?
Todo certificado energético contiene la siguiente información:
- Identificación del edificio: o, alternativamente si fuese el caso, la identificación de la parte que del inmueble que se certifica.
- Especificación del procedimiento elegido para la obtención del certificado (programa informático, opción simplificada o opción general). Además, en este apartado se indican los datos siguientes:
- Descripción de las características energéticas del edificio: incluyendo las instalaciones, el envolvente térmico, las condiciones normales de funcionamiento y ocupación, y otros datos que se consideren relevantes para la obtención de la calificación energética.
- Especificación de la normativa de ahorro y eficiencia energética: siempre en el caso de que existiera dicha información en su aplicación en el momento de construcción de la vivienda.
- Calificación de la eficiencia energética del edificio haciendo uso de la etiqueta energética correspondiente.
- Inclusión de un documento que abarque las medidas recomendadas expresadas por un técnico certificador junto con sus clasificaciones según su viabilidad técnica, económica y funcional. Se incluye también la repercusión energética que permitan que esta calificación mejore en la calificación energética como mínimo a un nivel de escala.
- Descripción de las comprobaciones y pruebas realizadas por el técnico profesional, incluyendo la fecha de visita del inmueble.
¿Quién debe solicitar el certificado energético?
Siempre es el propietario quien deberá ocuparse de contratar a un técnico para que pueda emitir la certificación energética de la vivienda. Todo certificado energético se traduce en una etiqueta, con aspecto similar al de las que llevan los electrodomésticos, ya que indica las emisiones y el consumo del inmueble en una escala de color que va desde la A (de más eficiencia) hasta la G (con menor valor de eficiencia).
Al estar regulada por ley, este certificado y su resultado deberá aparecer en cualquier publicidad de la vivienda. Si el propietario no dispone de certificado energético, la inmobiliaria puede proporcionarle este servicio.
De todos modos, es esencial que la calificación energética figure en cualquier anuncio o acto publicitario del inmueble en el caso que se quiera alquilar o vender. El propietario debe facilitar su certificado energético a su agencia inmobiliaria e incluirlo en su anuncio en portales inmobiliarios.
Tanto antes de alquilar como de vender, deberá tener este certificado. Y deberá anexarse en cualquier transacción de compra-venta. Se trata de un informe que consta de varias páginas, con información sobre la situación, la orientación, la iluminación y los sistemas de energía del inmueble: placas solares, generadores… Para la mayoría de trámites con organismos oficiales también se exige esta tipificación y antes de alquilar se deberá entregar una copia del certificado al inquilino.
Tabla de valoración de certificados energéticos: Etiqueta de eficiencia energética
Si quieres saber cómo calcular la tabla de valoración de los certificados energéticos tras aplicar las fórmulas reflejadas en el Real Decreto 47/2007 y el Real Decreto 235/2013 te lo indicamos a continuación.
Los edificios cuyo destino sea de uso residencial privado, su eficiencia energética se califica en una escala de 7 letras: desde la letra A hasta la letra G, siendo la A el edificio con mayor eficiencia. En la etiqueta de eficiencia energética también se indica el CO2 por m2 de superficie (indicador principal) y el consumo anual de energía por m2 de superficie (indicador secundario).
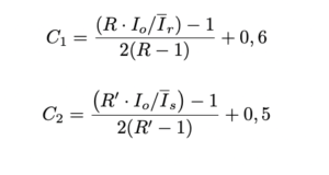
Para calcular qué letra corresponde, primero se hace uso de la siguiente fórmula:

Fuente: Gobierno de España.
Los valores son los siguientes:
- Io: El valor correspondiente a las emisiones anuales de CO2, consumo anual de energía primaria no renovable, demanda de calefacción, entre otros.
- Ir: Valor medio del indicador de referencia del parque de referencia de edificios nuevos de uso residencial privado (viviendas).
- R: Ratio entre el valor Ir y el valor correspondiente al 10% del indicador de referencia del parque de referencia de edificios nuevos de uso residencial privado
- Is: Valor medio del parque de referencia de edificios existentes de uso residencial privado (viviendas).
- R0: Ratio entre el valor Ir y el indicador de referencia del parque de referencia de edificios existentes de uso residencial privado.
Dependiendo del resultado de la fórmula se adjudicará la calificación correspondiente:

Fuente: Gobierno de España.
Se debe tomar en cuenta que todos los certificados de eficiencia energética duran 10 años de validez tras su emisión, pasados los 10 años el certificado caduca. Por lo tanto, si se quiere vender o alquilar una vivienda comprobar la vigencia de este certificado es necesario al igual que la implementación de cambios para que la propiedad pueda obtener una calificación A.

¿Es obligatorio el certificado energético?
Es de obligado cumplimiento que al realizar una compraventa de un inmueble esté presente el certificado de eficiencia energética. Por tanto, sí es obligatorio y su coste debe asumirlo el propietario de la vivienda.
¿Cuánto tarda en emitirse el certificado energético?
El tiempo que se tarda en emitir este certificado es crucial a la hora de vender cualquier inmueble ya que, como hemos comentado antes, es obligatorio para cualquier proceso de compraventa de una vivienda.
Es por ello por lo que se recomienda solicitarlo con al menos 30 días laborables de antelación. Debemos tener en cuenta que más allá de los tres días que tardan los técnicos en emitir el informe, existen los tiempos de espera, la presentación de informe a los organismos competentes etc…

¿Cuánto vale el certificado energético?
El coste de la emisión de un certificado energético en España no está regulado por ninguna legislación ni organismo oficial, es por ello que el precio del certificado energético puede ir desde los 30 € hasta los 300 euros.

Ahora que ya conoces todos los detalles sobre los certificados de eficiencia energética recuerda solicitarlos cuándo compres el hogar de tus sueños.
En Bourgeois Fincas conocemos a la perfección el complicado tejido legislativo que afecta a este tipo de gestión y contamos con un equipo cualificado para emitir su certificado energético.
Disponemos de un personal altamente preparado para poder atender cualquier tipología contractual, sean contratos de renta antigua, contratos afectados por la “Ley Boyer” o los contratos firmados a partir del 1 de enero de 1995, así como los nuevos redactados a partir de la modificación de la ley del año 2013.
Si está pensando en comprar, vender o alquilar su casa no dude en contactarnos, más de 65 años de experiencia en el sector nos avalan.
Infórmate con el mejor equipo de expertos
En Bourgeois, queremos darte el mejor servicio.
Dinos qué estás buscando y descubre cómo podemos ayudarte.